School Management System For Wordpress V65 0 Free Download

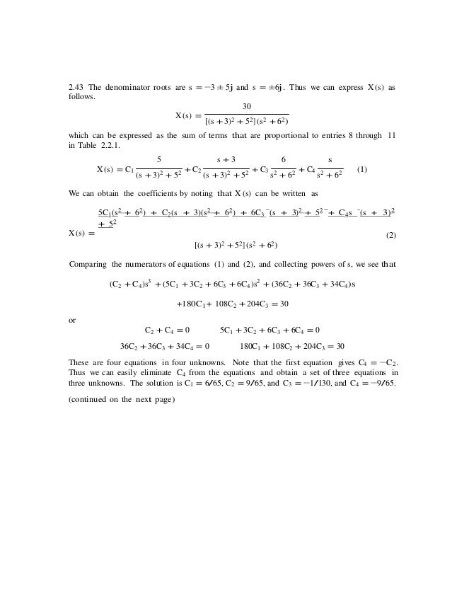
School management system plugin for wordpress is ideal way to manage complete school operation. Download free smart school php script v600. School management system for wordpress v650 nulled.

lazy


School Management System For Wordpress V65 0
webdevdl.com
lazy


Advance Loan Management System With Savings System And Sms Notification Da Viruz Systems
mail.daviruzsystems.com
lazy


School Management System For Wordpress By Dasinfomedia Codecanyon
codecanyon.net
lazy


The Promise Of Artificial Intelligence In Chemical Engineering Is It Here Finally Venkatasubramanian 2019 Aiche Journal Wiley Online Library
aiche.onlinelibrary.wiley.com
lazy


Bus Simulator Ultimate V1 0 2 Mod Apk Free Download 100 Working Free
tech2gaming.army
lazy


School Management System For Wordpress V63 0 Download Phpscriptfree
phpscriptfree.com

School management system plugin for wordpress is ideal way to manage complete school operation.

School management system for wordpress v65 0 free download. School management education learning management system for wordpress v57 free download live preview school management is a wordpress plugin to manage multiple schools and their entities such as classes sections students exams id cards admit cards teachers staff fees invoices income expense noticeboard study materials and much more. Add schoolmanagementinquiry shortcode on any page post to display admission inquiry form on the website. School management system is desktop based software.

School management system templates like this will be the right investment and also saves you money and time. Plus the learning management tool is also integrated into this theme to easily manage the courses and the students. It is the most widely used software all over the world.

The system has different access rights for admin teacher. It is the most widely used software all of the world. Wordpress school management system is the best plugin to manage the school.

It is fully customizable from admin. Student management system is desktop based management desktop software developed by litgrey technologies in 2020. How to use shortcodes.

The system has different access rights for admin teacher student and parent. The school management system is a wordpress plugin to manage school and its entities such as classes sections students id cards teachers staff fees invoices noticeboard and much more. Download school management system free download for free.

Drupal html templates scripts and mobile app website set to share to you high premium web materials for free downloads. School management system is desktop based school management software application developed by softwarelinkers in 2018. Wordpress school management system is compatible upto wordpres version 472 we are ready to give you support anytime.

This type user has fully access to manage the plugin from admin like. To make your job easier the creator has used the wordpress platform for this template. Smart school school management system nulled is modern and complete school automation software that suites to almost every school or educational institution from student admission to student leaving from fees collection to exam results.

Then the user can. Free download school management system for wordpress v650 school management system plugin for wordpress is ideal way to manage complete school operation. It is installed on 2300 computers in the last three months.

Our sms provides you almost 100 facilities in school operations. Info download demo. It mostly used in pakistan india kenya bangladesh sri lanka australia united kingdom united.

lazy


Download Free Traveler V2 8 2 Travel Booking Wordpress Theme Download Free Themes
downloadfreethemes.top
lazy


Download Free Booked Wordpress Plugin V2 2 6 Freedownload Network
www.freedownload.network
lazy


School Management System Posts Facebook
www.facebook.com
lazy


Download Free Videohive Viking Logo 20710620 Free Jojotheme Net
www.jojotheme.net
lazy


School Management System For Wordpress V65 0 Wp Plugin Crack Themes
www.wpcrackthemes.com
lazy


School Management System For Wordpress V65 0
webdevdl.com
lazy


Http Avoer Ft Unsri Ac Id Documents Prosiding 20seminar 20avoer 208 202016 Pdf
lazy


Miranda Simferopol 11 Ukraine S Comments From Sound Advice Showing 1 20 Of 32
www.goodreads.com
lazy


Http Www Pseudology Org Terovanesian Masterman Strategic Sports Event Management Olimpic2 Pdf
lazy


Z7ycecv5tyzemm
lazy


School Management System For Wordpress V63 0 Download Phpscriptfree
phpscriptfree.com
lazy


School Management System For Wordpress V65 0 Wp Plugin Crack Themes
www.wpcrackthemes.com
lazy


Acer S Halo Smart Speaker Boasts Google Assistant And Rgb Lighting By Alex Nov 2020 Medium
medium.com
lazy


Download Free School Management System For Wordpress V57 0 Crack Themes
www.crackthemes.com
lazy


Nulled Downloads
nulleddownloads.com
lazy


School Management System For Wordpress V65 0
webdevdl.com
lazy


Vckit Nulled V2 0 5 Null5
null5.top
lazy


Download Free Traveler V2 8 2 Travel Booking Wordpress Theme Nulledzip
www.nulledzip.download
lazy


Download Free School Management System For Wordpress V57 0 Crack Themes
www.crackthemes.com
lazy


Nvtechmania Page 10 The Ultimate Nulled World
www.nvtechmania.com
lazy


Home Codemy
ditjenpas.go.id
lazy


Free Nulled Woocommerce Product Listing Download V1 6 2 24x7themes Download Free Nulled Wordpress Themes
www.24x7themes.download
lazy


Download Free 3metro Minimal Woocommerce Wordpress Theme Code Php Scripts Free Wp Themes Download Free
vertiens.com
lazy


Cryptonet V1 3 Cryptocurrency Market Cap Live Prices Charts Ticker Gdpr Compliance Nulled Downloads
nulleddownloads.com
lazy


Teacher Archives Wplocker Pro
wplocker.pro
lazy


Socialite V3 1 Laravel Social Network Script Nullwebscripts Com
www.nullwebscripts.com
lazy


Free Download School Management System For Wordpress Nulled School Management System Codecolony Youtube
www.youtube.com
lazy


Edd Free Download V2 2 1 Plugin Nulled Da Viruz Systems
daviruzsystems.com
lazy


School Management System Mobile App For Wordpress Apps On Google Play
play.google.com
lazy


Jnews Wordpress Newspaper Magazine Blog Amp Theme Lenvato
lenvato.com
lazy


Download School Management System For Wordpress V65 0 Wp Plugin Free
codecanyon.download
lazy


Download Free Videohive Viking Logo 20710620 Free Jojotheme Net
www.jojotheme.net
lazy


Download Free Woolementor Pro Wordpress Plugin V1 4 1 Freedownload Network
www.freedownload.network
lazy


Download Free School Management System For Wordpress V31 Download Free Themes
www.downloadfreethemes.io
lazy


Global Multi V3 0 Nulled School Management System Nullwebscripts Com
www.nullwebscripts.com
lazy


Admin Archives Wplocker Pro
www.wplocker.pro
lazy


Toyota 3c Service Pt Liv De Soupes Mais 4 Answers To Animalhusbandry Waec Practicals Business Logistics Management International 1999 Toyota 4e Repair Rta Austroads Design Ca Meudelivery Net Br
toyota-3c-service.pt-liv-de-soupes-mais-4.answers-to-animalhusbandry-waec-practicals.business-logistics-management-international.1999-toyota-4e-repair.rta-austroads-design.ca.meudelivery.net.br
lazy


Download Free Woocommerce Variation Swatches Pro V1 0 53 Themesfreedownload Net
www.themesfreedownload.net
lazy


Download Free School Management System For Wordpress V65 0 Download Free Themes
www.downloadfreethemes.space
lazy


School Management System For Wordpress V65 0 Wplocker Pro
wplocker.pro
lazy


Teacher Archives Wplocker Pro
wplocker.pro
lazy


School Management System For Wordpress By Dasinfomedia Codecanyon
codecanyon.net
lazy


School Management System For Wordpress V65 0 Free Download Dlword Press
www.dlword.press
lazy


Download Free School Management System For Wordpress V63 0 Download Free Themes
www.downloadfreethemes.io
lazy


School Management System For Wordpress V65 0
webdevdl.com
lazy


Home Codemy
ditjenpas.go.id
lazy


Pro Bulk Watermark Plugin For Wordpress V2 0 Free Download Dlword Press
www.dlword.press
lazy


Solutions Manual For System Dynamics 3rd Edition By Palm
www.slideshare.net
lazy


Fulfilled Your Mission V231 Life S Deep Thoughts
markbesh.wordpress.com
lazy


Download Free School Management System For Wordpress V65 0 Download Free Themes
www.downloadfreethemes.space
lazy


Issue 1003 Thursday 5 April 2018 By Look Local Newspaper Issuu
issuu.com
lazy


School Management System For Wordpress V63 0 Download Phpscriptfree
phpscriptfree.com
lazy


All Categories Liquidnolas
liquidnolas.weebly.com
lazy


Miranda Simferopol 11 Ukraine S Comments From Sound Advice Showing 1 20 Of 32
www.goodreads.com
lazy


Download Free Mozmasti V2 7 Short Video Streaming Mobile Application Code Php Scripts Free Wp Themes Download Free
52.45.82.31
lazy


Free School Management System For Wordpress Wordpress Download V65 0 Premiumfreethemes Top
www.premiumfreethemes.top
lazy


Other Information On Full Time Training Institute Of Technical Education
www.yumpu.com
lazy


Let S Review V3 2 0 Wordpress Plugin With Affiliate Options Premiumfreethemes Top
www.premiumfreethemes.top
lazy


Goesr Dual 24 Tv Fr Tryit Guru
goesr-dual.24-tv.fr.tryit.guru
lazy


Tnt Crack Software And Games For Mac And Windows
www.pinterest.com
lazy


Hg Technology Co Ltd Cens Ebook
www.yumpu.com
lazy


Free School Management System For Wordpress Wordpress Download V63 0 Premiumfreethemes Top
www.premiumfreethemes.top
lazy


Video Downloader For Facebook V2 4 7 Mod Apk 100 Working Free
tech2gaming.army
lazy


Theme Archives Upwone
www.upwone.com
lazy


Download Free School Management System For Wordpress V65 0 Jojotheme Net
www.jojotheme.net
lazy


Pdf Pengembangan Perpustakaan Digital Teori Dan Praktik Tahap Demi Tahap
www.researchgate.net
lazy


School Management System For Wordpress V65 0
webdevdl.com
lazy


School Management System Mobile App For Wordpress Apps On Google Play
play.google.com
lazy


Mobile Money Restrictions In Zimbabwe Are Bad For Financial Inclusion Your Cheer
your.cheer.id
lazy


Https Www Pro Tools Expert Com Avid S6 Blog Daily 0 75 2017 12 05 Https Www Pro Tools Expert Com Avid S6 Blog 2014 1 28 Time Lapse Video Installing An Avid S6 Into This Is Sound De Html Monthly 0 5 2018 05 10 Https Www Pro Tools Expert Com Avid S6
www.pro-tools-expert.com
lazy


Nullwebscripts The Ultimate Premium Scripts Free Downloads
nullwebscripts.com
lazy


Imo Model Course 7 02 Edition 2014
www.slideshare.net
lazy


Free Nulled Touchy Download V3 0 24x7themes Download Free Nulled Wordpress Themes
www.24x7themes.download
lazy


Avada V5 9 Responsive Multi Purpose Theme Da Viruz Systems
daviruzsystems.com
lazy


Zhii8m8x7efnvm
lazy


Menorah Academy V7 0 Next Gen School Management Software Nullwebscripts Com
www.nullwebscripts.com
lazy


Magazine Archives Wp Free Wordpress Themes Plugins
wpfree.guidetowordpress.com
lazy


Newspaper Theme V10 3 5 Nulled Wordpress News Template Wordpress Crack Themes
www.wpcrackthemes.com
lazy


School Management System For Wordpress V67 0 Wpmania Free Premium Wordpress Themes
wpmania.download
lazy


School Management System Mobile App For Wordpress Apps On Google Play
play.google.com
lazy


Bgeytmzgnfmlvm
lazy


Free School Management System For Wordpress Wordpress Download V65 0 Premiumfreethemes Top
www.premiumfreethemes.top
lazy


Download Free Katka Elementor Template Pack Wordpress Plugin Freedownload Network
www.freedownload.network
lazy


Download Free Woocommerce Products List Pro Wordpress Plugin V1 1 16 Freedownload Network
www.freedownload.network
lazy


School Management System For Wordpress V65 0
webdevdl.com
lazy


10 Download Hacks Ideas Download Hacks Play Hacks Admin Panel Template
in.pinterest.com
lazy


New Golang Brute Forcer Discovered Amid Rise In E Commerce Attacks Malwarebytes Labs Malwarebytes Labs
blog.malwarebytes.com
lazy


School Management System For Wordpress V65 0 Nulled Nvtechmania
www.nvtechmania.com
lazy


Appsvan School V1 0 School Management System With Integrated Cms Da Viruz Systems
mail.daviruzsystems.com
lazy


Download Free 3metro Minimal Woocommerce Wordpress Theme Code Php Scripts Free Wp Themes Download Free
vertiens.com
lazy


Free Download School Management System For Wordpress Nulled School Management System Codecolony Youtube
www.youtube.com
lazy


Download Free Ajax Search Pro For Wordpress V4 18 6 100 Working Free
tech2gaming.army

Random Posts